RESMETHRIN




Method number: 2052
 
Matrix: Air
 
Target Concentration: 0.34 mg/m3 (arbitrary) There is neither an OSHA PEL nor an ACGIH TLV for resmethrin.
 
Procedure: Samples are collected by drawing known volumes of air through OSHA versatile sampling tubes (OVS-2) containing a glass fiber filter and two sections of XAD-2 adsorbent. Samples are desorbed with acetonitrile and analyzed by high performance liquid chromatography (HPLC) using an ultraviolet (UV) detector.
 
Recommended air volume
and sampling rate:
60 L at 1 L/min
 
Detection limit of the overall procedure (based on the recommended air volume and the analytical detection limit): 0.017 mg/m3
 
Status of method: Stopgap method. This method has been partially evaluated and is presented for information and trial use only.
 
Date: July 1989 (final draft) Chemist: James Pike



Carcinogen And Pesticide Branch
OSHA Analytical Laboratory
Salt Lake City, Utah




1. General Discussion

1.1. Background

1.1.1. History of procedure

Recently the OSHA Analytical Laboratory received a set of field samples with a request for the analysis of resmethrin. These air samples had been collected on OVS-2 sampling tubes at a flow rate of 1 L/min. This report describes the preliminary validation of the sampling method and the development of an analytical procedure for resmethrin.

1.1.2. Toxic effects (This section is for information only and should not be taken as the basis of OSHA policy).

In rats the acute oral LD50 for resmethrin (technical material) is 4240 mg/kg. In rabbits the acute dermal LD50 is 2500 mg/kg. In guinea pigs skin sensitization is negative (Ref. 5.1.).

1.1.3. Potential workplace exposure

Resmethrin is an insecticide. No estimate of the extent of worker exposure could be found at this time.

1.1.4. Physical properties and other descriptive information (Ref. 5.2. through 5.5.)

Chemical name: (5-Benzyl-3-fural)methyl-2,
2-di-methyl-3-(2-methyl-propenyl)cyclo-propanecarboxylate
Synonyms: 5-Benzyl-3-furylmethyl(IRS)-cis, trans-chrysanthemate;
{5-(Phenyl-methyl)-3-furanyl}
methyl-2,2-di-methyl-3-(2-methyl-1-propenyl) cyclo-propanecarboxylate; Benzofuroline; Chrysron; Premgard; Pynosect; Pyretherm; Synthrin;
FMC 17370 (discontinued by FMC); NIA 17370 (discontinued by FMC)
(Ref. 5.1. and 5.2.)
CAS #:10453-86-8
IMIS #:2233
Molecular weight:338.45
Molecular formula:C22H2603
Appearance:Waxy off-white to tan solid
Odor:Characteristic chrysamthemate
Solubility:Insoluble in water, 10% soluble in kerosene, very soluble in xylene, methylene chloride, isopropanol, and aromatic hydrocarbons (Ref. 5.1.)
UV scan:See Figure 3.
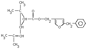
Structure:structure

1.2. Limit defining parameters

The detection limit of the analytical procedure is 10.1 ng per injection. This is the amount of analyte which will give a peak whose height is approximately five times the baseline noise. (See Figure 2.)

2. Sampling Procedure (Ref. 5.6. and 5.7.)

2.1. Apparatus

2.1.1. A personal sampling pump that can be calibrated to within ± 5% of the recommended flow rate with the sampling device in line.

2.1.2. OVS-2 samplers, which are specially made 13-mm o.d. glass tubes that are tapered to 6-mm o.d., packed with a 140-mg backup section of cleaned XAD-2 adsorbent, a 270-mg sampling section of cleaned XAD-2 adsorbent and a 13-mm diameter glass fiber filter. The backup section is retained by two foam plugs and the sampling section is between one foam plug and the 13-mm glass fiber filter. The glass fiber filter is held next to the sampling section by a polytetrafluoroethylene (PTFE) retainer. (See Figure 5.)

2.2. Reagents

None

2.3. Sampling technique

2.3.1. Calibrate the pump to 1 L/min.

2.3.2. Attach the sampling device to the sampling pump inlet with flexible, plastic tubing so that the large, front section of the device is exposed directly to the atmosphere. Do not place any tubing in front of the sampler.

2.3.3. Attach the sampler vertically (large end down) to the worker's collar or within the breathing zone in such a manner that it does not impede work performance.

2.3.4. After sampling for the appropriate time, remove the sampling device and reseal the tube with plastic end-caps. Wrap each sample end to end with a form OSHA-21 seal.

2.3.5. Submit at least one blank for each set of samples. Handle the blank in the same manner as the samples, except no air is drawn through it.

2.3.6. Report any possible interferences to the laboratory at the time the samples are submitted.

2.3.7. Ship samples as soon as possible in a suitable container designed to prevent damage in transit.

2.3.9. Submit bulk samples for analysis in a container separate from the air samples.

2.4. Extraction efficiency

Three "A-portions" from OVS-2 tubes (270 mg XAD-2 plus 13-mm glass fiber filter) were each liquid spiked with 40.4 µg of resmethrin and placed in separate 4-ml vials. Each sample was treated with 2.0 ml of acetonitrile, sealed with a cap, allowed to extract for 1 hr. with occasional vigorous shaking, and analyzed as per section 3.

Table 2.4.
Extraction Efficiency of Resmethrin


SampleResmethrin foundRecovery

EE-532.065 µg79.4%
EE-633.094 mg81.9%
EE-732.688 mg80.9%
EE-8blank----
Average recovery = 80.7%

2.5. Retention efficiency

Three OVS-2 tubes were each liquid spiked with 80.8 µg of resmethrin. Approximately 60 L of humid air (-70%) were drawn through the tubes at 1 L/min. The retention study samples, along with a blank, were then prepared and analyzed as per section 3. There was less than 1% of breakthrough observed in this study. Breakthrough is defined as the amount of analyte found on the backup portion of the sampling tube divided by the total amount of analyte found on the sampling tube.

Table 2.5.
Retention Efficiency of Resmethrin


SampleResmethrin foundRecovery

RS-565.423 µg81.0%
RS-666.401 µg82.2%
RS-762.962 µg77.9%
RS-8blank----
Average recovery = 80.4%

2.6. Sample storage

Three OVS-2 tubes were each liquid spiked with 40.4 µg of resmethrin, sealed with end caps, and stored at ambient temperature for 21 days. The storage test samples were then extracted and analyzed as per section 3.4.

Table 2.6.
Storage Test of Resmethrin


SampleResmethrin foundRecovery

ST-132.226 mg79.8%
ST-232.435 mg80.3%
ST-330.354 mg75.1%
ST-4blank----
Average recovery = 78.4%

2.7. Recommended air volume and sampling rate

2.7.1. The recommended air volume is 60 L.

2.7.2. The recommended flow rate is 1.0 L/min.

2.8. Interferences (sampling)

It is not known if any compounds will interfere with the collection of resmethrin. Suspected interferences should be reported to the laboratory.

2.9. Safety precautions (sampling)

2.9.1. Attach the sampling equipment in such a manner that it will not interfere with work performance or employee safety.

2.9.2. Follow all safety practices that apply to the work area being sampled.

3. Analytical Procedure (Ref. 5.7.)

3.1. Apparatus

3.1.1. A calibrated balance capable of determining a weight to the nearest 100 µg. A Mettler HL52 balance was used in this evaluation to prepare the concentrated standards.

3.1.2. Volumetric flasks, pipets, and syringes of various convenient sizes for preparing standards, making dilutions and making injections.

3.1.3. A high performance liquid chromatograph equipped with a variable wavelength UV detector, manual or automatic injector, and strip chart recorder. A Hewlett-Packard 1084B HPLC, interfaced with a Du Pont UV Spectrophotometer was used for this evaluation.

3.1.4. An HPLC column capable of separating resmethrin from any interferences. A (25 cm × 4.6 mm i.d.) Du Pont Zorbax ODS (5 micron) column was used for this evaluation.

3.1.5. An electronic integrator, or some other suitable method for measuring detector response. The Hewlett-Packard 3357 Laboratory Data System was used for this evaluation.

3.1.6. Glass vials, 4-ml with rubber-lined caps

3.1.7. Glass vials, 2-mL with Teflon-lined septa

3.2. Reagents

3.2.1. Acetonitrile (AcN), HPLC grade

3.2.2. Water, HPLC grade. A Millipore Milli-Q system was used to prepare the water for this evaluation.

3.2.5. Resmethrin, (EPA Reference standard #6055). A 99.5% pure standard from EPA was used for this evaluation.

3.3. Standard preparation

Prepare two stock standard solutions by adding acetonitrile to preweighed amounts of resmethrin (20 to 30 mg) in 10-mL volumetric flasks. Prepare working range standards by pipet dilutions of previous standards. Store stock and dilute standards in freezer.

3.4. Sample preparation

3.4.1. Transfer the glass fiber filter and the 270-mg portion of XAD-2 from the sampling tube to a 4-ml glass vial. Place the first foam plug and the 140-mg portion in a separate vial. A small glass funnel can be used to facilitate the the transfer of the adsorbent. Discard the rear foam plug. Do not discard the glass sampling tube; it can be reused after it has been cleaned.

3.4.2. Add 2.0 ml of acetonitrile to each vial and seal with rubber lined caps.

3.4.3. Allow the samples to extract for one hour with occasional vigorous shaking.

3.4.4. Where necessary for automation, transfer aliquots of samples to 2-ml vials for use in an autosampler, and seal with PTFE-lined septa.

3.5. Analysis

3.5.1. Instrument conditions

Column: Du Pont Zorbax ODS, 5-µm, (25 cm × 4.6 mm i.d.)
Column temperature:     50°C
Mobile phase:AcN/H2O 75:25
Mobile phase temperature:50°C
Flow rate:1.5 mL/min
Detector wavelength:233 nm
Retention time:5.7 min
Injection volume:20 µL

3.5.2. Chromatogram (See Figure 1.)

3.5.3. Intersperse the analytical standards, including a detection limit standard, with the samples in the analytical sequence.

3.6. Interferences (analytical)

3.6.1. Any collected compound soluble in acetonitrile that has a similar retention time and absorbs at 233 nm is an interference. Generally, chromatographic conditions can be altered to separate interferences from the analyte.

3.6.2. Retention time alone is not proof of chemical identity. Confirmation of chemical identity by other means such as GC Mass Spectrometry, detector response ratioing or chromatography by an alternate column should be sought when possible.

3.7. Calculations

3.7.1. By using a suitable method, such electronic integration, measure the detector response.

3.7.2. Use an external or internal standard procedure to prepare a calibration curve using analytical standards over a range of concentrations (See Figure 4). Bracket the samples with analytical standards.

3.7.3. Construct a calibration curve by plotting detector response versus standard concentration. (See Figure 4.)

3.7.4. Determine the concentration of resmethrin in each section of a sample from the calibration curve. If resmethrin is found on the backup section, add it to the amount on the front section. Make blank corrections for each section before adding the results together.

3.7.5. The air concentration is then determined by:

mg/m3 = (µg/mL in sample) × (extraction volume, mL)
(air volume, L) × (extraction efficiency, decimal)

3.8. Safety precautions (analytical)

3.8.1. Avoid exposure to all standards.

3.8.2. Avoid skin contact with all solvents.

3.8.3. Wear safety glasses in the laboratory at all times.

4. Recommendation for Further Study

A fully validated sampling and analytical method should be developed.

Chromatogram of Resmethrin

Figure 1. Chromatogram of Resmethrin



Detection limit of Analytical Procedure for Resmethrin

Figure 2. Detection limit of Analytical Procedure for Resmethrin



UV Scan of Resmethrin

Figure 3. UV Scan of Resmethrin



Calibration Curve of Resmethrin

Figure 4. Calibration Curve of Resmethrin



sampling tube

Figure 5. OVS-2 Sampling Device




5. References

5.1. Meister, R. T., Ed.; "Farm Chemicals Handbook '85", 71st ed.; Meister Publishing: Willowby, OH, 1985; p C203.

5.2 Ouellett, R. P. and King, J. A.; "Chemical Week Pesticides Register"; McGraw-Hill Book Company: New York, NY, 1977; p. 266.

5.3. Wiswesser, W. J., Ed.; "Pesticide Index", 5th ed.; Entomological Society of America: College Park, MD, 1976; p 198.

5.4. Watts, R. R., Ed.; "Analytical Reference Standards and Supplemental Data for Pesticides and Other Organic Compounds"; Analyt ical Chemistry Branch, Environmental Toxicology Division, Health Effects Research Laboratory: Research Triangle Park, NC, Revised 1980; p 85.

5.5. Tatken, R. L. and Lewis, R. J. Sr., Ed.; "Registry of Toxic Effects of Chemical Substances"; U. S. Department of Health and Human Services: Cincinnati, OH, 1986; DDH(NIOSH) Publication No. 86-103, 1, p 1032.

5.6. "Industrial Hygiene Technical Manual"; OSHA Instruction CPL 2-2.20A, U.S. Department of Labor, Chapter II: "Standard Methods for Sgmpling Air Contaminants", 1984.

5.7 Burright, D.; "Carbaryl (Sevin)"; Method #58, Organic Methods Evaluations Branch, OSHA Analytical Laboratory: Salt Lake City, UT, July 1987; unpublished.