PHOSGENE


Method no.: 61

Matrix: Air

Target concentration: 100 ppb (0.4 mg/m3) (OSHA PEL)

Procedure: Air samples are collected by drawing known volumes of air through sampling tubes containing XAD-2 adsorbent which has been coated with 2-(hydroxymethyl)piperidine. The samples are desorbed with toluene and then analyzed by gas chromatography using a nitrogen selective detector.

Recommended air volume
and sampling rate:

240 L at 1 L/min

Reliable quantitation limit: 3.5 ppb (0.014 mg/m3)

Standard error of estimate
at the target concentration:
(Section 4.7.)

6.7%

Status of method: Evaluated method. This method has been subjected to the established evaluation procedures of the Organic Methods Evaluation Branch.

Date: August 1986 Chemist: Warren Hendricks

Organic Methods Evaluation Branch
OSHA Analytical Laboratory
Salt Lake City, Utah

1. General Discussion

1.1. Background

1.1.1. History

The procedures that have been used by OSHA to monitor occupational exposure to phosgene include detector tubes, monitoring dosimeters and infrared gas analyzers. None of these procedures have proven to be completely adequate for use by OSHA. These methods lack either the desired precision and accuracy or they are awkward and inconvenient for field use.

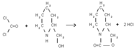
This procedure was developed after it was found that phosgene would react quantitatively with 2-(hydroxymethyl)piperidine (2-HMP) to form a stable derivative, 1-aza-8-oxabicyclo[4.3.0.]inonan-9-one. The proposed derivatization reaction is presented below. The structure of the derivative has been confirmed by mass spectrometry.

proposed derivatization reaction

        Phosgene                2-HMP                          Derivative

XAD-2 adsorbent coated with 2-HMP is used in the OSHA method for acrolein and formaldehyde (Method 52) (Ref. 5.1.). This procedure was successfully evaluated using the same adsorbent tube that is used in Method 52, thereby extending its use to a third analyte.

1.1.2. Toxic effects (This section is for information only and should not be taken as the basis of OSHA policy.)

Phosgene gas is a severe eye and respiratory irritant. The lowest concentration that will cause immediate throat irritation is 3 ppm. A level of 4 ppm will cause immediate eye irritation, 4.8 ppm causes coughing and brief exposure to 50 ppm may be fatal. Symptoms of moderate exposure include a dryness or a burning sensation in the throat, vomiting, chest pain and difficulty in breathing. Inhalation of a sufficient quantity of phosgene causes pulmonary edema which may be characterized by a delay in the onset of symptoms of up to 72 h. The length of the delay in the onset of symptoms depends on the severity of the exposure. The pulmonary edema may progress to pneumonia which may result in cardiac failure. (Ref. 5.2.)

Splashes of liquid phosgene on the skin or in the eye may produce severe tissue damage (Ref. 5.2.).

The odor threshold for phosgene is about 0.5 to 1 ppm. This level will vary with the individual and is usually higher following exposure because of olfactory fatigue. The odor of phosgene at 0.5 ppm has been described as pleasant and similar to new-mown hay or cut-green corn. At higher levels, the odor may be strong, stifling and unpleasant. (Ref. 5.3.)

1.1.3. Workplace exposure

Most phosgene is used to manufacture other chemicals in the same plant in which it is produced. It is manufactured by the reaction of carbon monoxide and chlorine over activated charcoal. In 1981, the United States consumed almost a million metric tons. The primary user of phosgene is the polyurethane industry which consumes 85% of the total phosgene produced. The polycarbonate industry consumes about 6% and the remaining 9% is used in miscellaneous applications. Phosgene can be employed in a variety of metal recovery operations and in the production of chloroformates which are intermediates in the production of perfumes, herbicides, insecticides and pharmaceuticals. Phosgene also has numerous other minor uses and suggested uses. (Ref. 5.3.) In 1976, NIOSH estimated that 10,000 workers had potential occupational exposure to phosgene during its manufacture and use (Ref. 5.4.).

Phosgene can be unintentionally produced when chlorinated hydrocarbons are subjected to heat or light. An example of this is the production of phosgene in the vicinity of a welding operation in a facility in which perchloroethylene is used. (Ref. 5.4.)

1.1.4. Physical properties (Ref. 5.3.)

CAS no.: 75-44-5
molecular weight: 98.92
appearance: colorless gas
melting point: -127.84°C
boiling point at 1 atm: 7.48°C
vapor pressure at 20°C: 1212 mm Hg
vapor density (air = 1.0): 3.4
molecular structure: molecular structure
synonyms: carbonyl chloride; carbon oxychloride; chloroformyl chloride

1.2. Limit defining parameters (The analyte air concentrations listed throughout this method are based on an air volume of 240 L and a solvent desorption volume of 1.0 mL. Air concentrations listed in ppm are referenced to 25°C and 760 mm Hg. The analyte concentrations are listed as phosgene even though the derivative is the actual species analyzed.)

1.2.1. Detection limit of the analytical procedure

The detection limit of the analytical procedure is 2.7 ng per injection. This is the amount of analyte which will give a peak whose height is sufficiently large to permit its visual detection in a sample chromatogram when it is compared to a blank sample chromatogram. (Section 4.1.)

1.2.2. Detection limit of the overall procedure

The detection limit of the overall procedure is 3.4 µg per sample (3.5 ppb or 0.014 mg/m3). This is the amount of phosgene spiked on the sampling device which allows recovery of an amount of analyte equivalent to the detection limit of the analytical procedure. (Section 4.2.)

1.2.3. Reliable quantitation limit

The reliable quantitation limit is 3.4 µg per sample (3.5 ppb or 0.014 mg/m3). This is the smallest amount of analyte which can be quantitated within the requirements of a recovery of at least 75% and a precision (±1.96 SD) of ±25% or better. (Section 4.2.)


The reliable quantitation limit and detection limits reported in the method are based upon optimization of the instrument for the smallest possible amount of analyte. When the target concentration of an analyte is exceptionally higher than these limits, they may not be attainable at the routine operating parameters.


1.2.4. Instrument response to the analyte

The instrument response over the concentration range of 0.5 to 2 times the target concentration is linear. (Section 4.4.)

1.2.5. Recovery

The recovery of phosgene from samples used in a 19-day storage test remained above 102% when the samples were stored at about 23°C. (Section 4.7.) The recovery of the analyte from the collection medium during storage must be 75% or greater.

1.2.6. Precision (analytical procedure)

The pooled coefficient of variation obtained from replicate determinations of analytical standards at 0.5, 1 and 2 times the target concentration is 0.035. (Section 4.3.)

1.2.7. Precision (overall procedure)

The precision at the 95% confidence level for the 19-day ambient temperature storage test is ±13%. (Section 4.7.) This includes an additional ±5% for sampling error. The overall procedure must provide results at the target concentration that are ±25% or better at the 95% confidence level.

1.2.8. Reproducibility

Six samples, collected from a controlled test atmosphere, and a draft copy of this procedure were given to a chemist unassociated with this evaluation. The samples were analyzed after 1 day of storage at 23°C. No individual sample deviated from its theoretical value by more than the precision reported in Section 1.2.7. (Section 4.8.)

1.3. Advantage

This sampling and analytical procedure provides a simple, convenient and precise means to monitor occupational exposure to phosgene.

1.4. Disadvantage

The sampling tubes currently must be obtained from the Salt Lake City Analytical Laboratory (SLCAL).

2. Sampling Procedure

2.1. Apparatus

2.1.1. Samples are collected by use of a personal sampling pump that can be calibrated to within ±5% of the recommended flow rate with the sampling device in line.

2.1.2. Samples are collected on 4-mm i.d. × 6-mm o.d. × 11-cm long silane-treated glass tubes which are packed with a 75-mg backup section and a 150-mg sampling section of pretreated XAD-2 adsorbent which has been coated with 2-HMP. The two sections of coated adsorbent are separated and retained with small plugs of silanized glass wool. Instructions for the pretreatment and the coating of XAD-2 adsorbent are given in Section 4.10. of this method.

2.1.3. Commercially available sampling tubes, marketed by Supelco for the collection of acrolein, while similar to those in this method, are not recommended by SLCAL for the collection of phosgene. These sampling tubes provided consistently lower results than SLCAL tubes when the same test atmosphere was sampled with both tubes. (Section 4.5.2.) It should be noted that the Supelco tubes were not intended by the manufacturer to collect phosgene.

2.2. Reagents

No sampling reagents are required.

2.3. Sampling technique

2.3.1. Break open both ends of the sampling tube so that the holes in the tube ends are at least one-half the i.d. of the tube. Attach the sampling tube to the sampling pump with flexible, plastic tubing such that the large, front section of the sampling tube is exposed directly to the atmosphere. Do not place any tubing in front of the sampler. The sampler should be attached vertically in the worker's breathing zone in such a manner that it does not impede work performance or safety. Be certain that the sharp end of the sampling tube does not injure the worker.

2.3.2. After sampling for the appropriate time, remove the sampling device and then seal the tube with plastic end caps. Wrap the tube lengthwise with an official OSHA seal (Form 21).

2.3.3. With each set of samples, submit at least one blank. The blank should be handled the same as the other samples except that no air is drawn through it.

2.3.4. List any potential interferences on the sample data sheet.

2.4. Sampler capacity

When controlled test atmospheres, each containing 0.7 ppm phosgene (7 times the OSHA PEL) in air at 78% relative humidity and 23°C, were sampled using the recommended sampling method, the average 5% breakthrough occurred after sampling for 275 min at 1 L/min. At the end of this time 275 L of air had been sampled and 778 µg of phosgene had been collected. Five-percent breakthrough was defined as the point at which 5% of the total amount of phosgene collected on the entire tube was found on the backup section. (Section 4.5.)

The amount of water in the sampled air can affect the ability of the sampler to collect phosgene. When no humidity was added to a test atmosphere containing 0.3 ppm phosgene, considerable break through was observed after sampling for 240 min at 1 L/min. Even though the breakthrough from the sampling section of the tube was considerable, the total amount of phosgene recovered from the entire tube was still 97% of the theoretical amount. The breakthrough was probably caused by a reduction in the reaction rate between phosgene and 2-HMP. When the sampling rate was reduced to 0.5 L/min, very little breakthrough was observed after sampling for the same time period. (Section 4.5.)

2.5. Desorption efficiency

2.5.1 No desorption efficiency corrections are necessary to compute air sample results because analytical standards are prepared using coated adsorbent. However, desorption efficiencies were determined to investigate the recovery of phosgene from the sampling device. The average desorption efficiency for phosgene from XAD-2 adsorbent coated with 2-HMP over the range of 0.5 to 2 times the target concentration was 94.9%. (Section 4.6.)

2.5.2. Desorbed samples remain stable for at least 16 h. (Section 4.6.)

2.6. Recommended air volume and sampling rate

2.6.1. The recommended air volume is 240 L and the recommended sampling rate is 1 L/min.

2.6.2. When the humidity of the sampled air is very low, the recommended air volume is 120 L and the recommended sampling rate is 0.5 L/min. (Section 4.5.)

2.6.3. When short-term air samples are required, the recommended sampling rate is 1 L/min. A 15-min sample at the reliable quantitation limit is equivalent to 60 ppb phosgene.

2.7. Interferences (sampling)

2.7.1. Any collected substance that is capable of reacting with 2-HMP and thereby depleting the derivatizing reagent is a potential interference. Acids and chemicals which contain a carbonyl group (such as acetone) may be capable of reacting with 2-HMP.

2.7.2. Suspected interferences should be reported to the laboratory with submitted samples.

2.8. Safety precautions (sampling)

2.8.1. The sampling equipment should be attached to the worker in such a manner that it will not interfere with work performance or safety.

2.8.2. All safety practices that apply to the work area being sampled should be followed.

3. Analytical Procedure

3.1. Apparatus

3.1.1. A gas chromatograph (GC) equipped with a nitrogen selective detector. A Hewlett-Packard 5840A GC fitted with a nitrogen-phosphorus flame ionization detector (NPD) was used in this evaluation. Injections were performed using a Hewlett-Packard 7671A automatic sampler.

3.1.2. A GC column capable of resolving the phosgene derivative from potential interferences. A 6-ft × 1/4-in. o.d. × 2-mm i.d. glass GC column containing 10% UCON 50-HB-5100 with 2% KOH on 80/100 mesh Chromosorb W-AW was used in this evaluation. Injections were performed on-column.

3.1.3. Vials, 2-mL glass with Teflon-lined caps.

3.1.4. Volumetric flasks, pipets and syringes for preparing standards, making dilutions and performing injections.

3.2. Reagents

3.2.1. Toluene and dimethylformamide. Burdick and Jackson solvents were used in this evaluation.

3.2.2. Helium, hydrogen and air, GC grade.

3.2.3. Phosgene, of known high purity. Matheson Gas Products 99.0% minimum grade phosgene was used in this evaluation.

3.2.4. Amberlite XAD-2 adsorbent coated with 10%, by weight, 2-(hydroxymethyl)piperidine. (Section 4.10.)

3.2.5. Desorbing solution. This solution is prepared by adding 20 µL of dimethylformamide to 100 mL of toluene. This is the same solution used to desorb formaldehyde and acrolein air samples.

3.3. Standard preparation

3.3.1. It is recommended that standards be prepared about 16 h before the air samples are to be analyzed in order to insure the complete reaction between phosgene and 2-HMP. However, rate studies have shown the reaction to be greater than 95% complete after 4 h. Therefore, one or two standards can be analyzed after this reduced time if sample results are outside the concentration range of the prepared standards.

3.3.2. Place 150-mg portions of coated XAD-2 adsorbent, from the same lot number as used to collect the air samples, into each of several 2-mL glass vials. Seal each vial with a Teflon-lined cap.

3.3.3. Prepare standards by injecting appropriate volumes of phosgene gas into the headspace above the coated adsorbent contained in the sealed 2-mL vials. A standard containing 97.0 µg of phosgene was prepared by injecting 28 µL of 99.0% phosgene gas, at 653 mm Hg and 23°C, into a vial containing 150 mg of coated adsotbent.

Note: Phosgene is a corrosive gas. The syringes used to prepare standards must be cleaned after each use. The syringes must be checked for plugging before and after each use.

3.3.4. The mass of phosgene gas which was used to prepare standards can be determined by use of the following equations:

MV = (22.41)(760/BP)(273+T)/(273)

where MV = ambient molar volume
BP = ambient barometric pressure
  T = ambient temperature

µg/µL = 98.92/MV

µg per standard = (µg/µL)(µL)(P)

where µg/µL = ambient density of phosgene gas
µL = µL of phosgene used to prepare the standard
P = decimal form of the phosgene purity

3.3.5. Prepare a sufficient number of standards to generate a calibration curve. Analytical standard concentrations should bracket sample concentrations. Thus, if samples are not in the concentration range of the prepared standards, additional standards must be prepared to determine detector response.

3.3.6. Desorb the standards in the same manner as the samples following the 16-h reaction time.

3.4. Sample preparation

3.4.1. Transfer the 150-mg section of the sampling tube to a 2-mL glass vial. Place the 75-mg section in a separate vial. If the glass wool plugs contain a significant number of adsorbent beads, place them with the appropriate sampling tube section. Discard the glass wool plugs if they do not contain a significant number of adsorbent beads.

3.4.2. Add 1.0 mL of desorbing solution to each vial.

3.4.3. Seal the vials with Teflon-lined caps and allow them to desorb for 1 h. Shake the vials by hand with vigorous force several times during the desorption time.

3.5. Analysis

3.5.1. GC conditions

column temperature: 180°C
injector temperature: 180°C
helium flow rate: 30 mL/min
injection volume: 0.80 µL
GC column: 6-ft × 1/4-in. o.d. (2-mm i.d.) glass GC column packed with 10% UCON 50-HB-5100 with 2% KOH on 80/100 mesh Chromosorb W-AW
NPD hydrogen flow rate: 3 mL/min
NPD air flow rate: 50 mL/min
NPD temperature: 275°C
Retention time: 14.6 min (phosgene)
Chromatogram: Figure 3.5.1.

3.5.2. Use a suitable method, such as electronic integration, to measure detector response.

3.5.3. Use an external standard procedure to prepare a calibration curve with several standard solutions of different concentrations. Prepare the calibration curve daily. Program the integrator to report results in µg/mL.

3.5.4. Bracket sample concentrations with standards.

3.6. Interferences (analytical)

3.6.1. Any compound having a similar retention time as phosgene is a potential interference.

3.6.2. GC parameters (temperature, column, etc.) may be changed to circumvent interferences.

3.6.3. Retention time on a single column is not proof of chemical identity.

3.6.4. GC/MS is a useful means of structure determination. It is recommended that this procedure be used to confirm samples whenever possible. Phosgene was confirmed by GC/MS in a desorbed sample containing 3.7 µg of phosgene.

3.7. Calculations

3.7.1. Results are obtained by use of calibration curves. Calibration curves are prepared by plotting detector response against concentration for each standard. The best line through the data points is determined by curve fitting.

3.7.2. The concentration, in µg/mL, for a particular sample is determined by comparing its detector response to the calibration curve. If phosgene is found on the backup section, it is added to the amount found on the front section. Blank corrections should be performed before adding the results together.

3.7.3. Phosgene air concentration can be expressed using the following equation:

mg/m3 (A)(B)/(C)     where A = µg/mL from Section 3.7.2.
B = desorption volume
C = liters of air sampled

No desorption efficiency correction is required because analytical standards are prepared using coated adsorbent.

3.7.4. The following equation can be used to convert phosgene results in mg/m3 to ppm:

ppm = (mg/m3)(24.46)/(98.92)

where mg/m3 = result from Section 3.7.3.
24.46 = molar volume of an ideal gas at 760 mm Hg and 25°C
98.92 = molecular weight of phosgene

3.8. Safety precautions

3.8.1. Avoid skin contact and inhalation of all chemicals.

3.8.2. Restrict the use of all chemicals to a fume hood.

3.8.3. Wear safety glasses and a lab coat in all laboratory areas.

4. Backup Data

4.1. Detection limit of the analytical procedure

The injection size recommended in the analytical procedure (0.80 µL) was used in the determination of the detection limit of the analytical procedure. The detection limit of the analytical procedure was 2.7 ng per injection. This was the amount of phosgene which gave a peak whose height was sufficiently large to permit its visual detection in a sample chromatogram when it was compared to a blank sample chromatogram. This detection limit was determined by the analysis of a 3.4 µg/mL phosgene standard. Figure 4.1.1. is a chromatogram of the detection limit of the analytical procedure and Figure 4.1.2. is a chromatogram of a blank sample.

4.2. Detection limit of the overall procedure and reliable quantitation limit data

The injection size recommended in the analytical procedure (0.80 µL) was used in the determination of the detection limit of the overall procedure and in the determination of the reliable quantitation limit. Six samples were generated by sampling a controlled test atmosphere containing 0.38 mg/m3 phosgene, in air at 55% relative humidity and 27°C, for 18 min at 0.5 L/min. The average theoretical amount collected was 3.4 µg/sample. Standards were prepared by injecting phosgene gas into the headspace of several 2-mL glass vials, each containing 1 mL of a solution of 15 mg/mL 2-HMP in toluene. The standards were stored for about 16 h at room temperature before analysis. Since the recoveries of phosgene from the samples were high and approximately equivalent to the detection limit of the analytical procedure, the detection limit of the overall procedure and the reliable quantitation limit were 3.4 µg/sample (3.5 ppb or 0.014 mg/m3).

Table 4.2.
Data for Detection Limit of the Overall
Procedure and the Reliable Quantitation Limit


sample theoretical amount amount recovered percent
number (µg) (µg) recovered

1 3.36 3.11   92.6
2 3.32 3.40 102.4
3 3.36 3.50 104.2
4 3.42 3.42 100.0
5 3.46 3.50 101.2
6 3.36 3.50 104.2

mean 3.38 100.8
SD = 4.3
1.96 SD = 8.5

4.3. Precision (analytical method only)

The precision of the analytical method was evaluated by performing multiple injections of analytical standards. The standards were prepared by injecting appropriate amounts of phosgene gas into sealed 2-mL glass vials containing 150 mg of coated adsorbent. The standards were allowed to stand 16 h prior to desorption and analysis.

Table 4.3.
Phosgene Precision Data


× target conc. 0.5×
µg/sample 49.4 98.8 197.7
ppm 0.05 0.1 0.2

area counts 61230 124600 257400
59680 125700 243700
61770 125600 260700
56620 116700 246000
58730 122100 255100
55830 115400 253600

mean 58977 121683 252750
SD 2404 4571 6611
CV 0.0408 0.0376 0.0262

pooled coefficient of variation = 0.035

4.4. Instrument response to the analyte

The data in Table 4.3. are presented graphically in Figure 4.4. This figure is a calibration curve over the concentration range of 0.5 to 2 times the target concentration. The instrument response was linear over this range.

4.5. Breakthrough data

4.5.1. Several breakthrough studies were performed with the recommended collection device by sampling controlled test atmospheres containing phosgene in air. The average phosgene concentration was 0.7 ppm (7 times the target concentration) and the average relative humidity was 78% at 23°C. The sampling rate was 1 L/min. Breakthrough was defined as the amount of phosgene found on the backup section divided by the total amount of phosgene collected on the entire sampling tube. When the results of these breakthrough studies were combined, 5% breakthrough occurred after sampling for 275 min. At the end of this time, 275 L of air had been sampled and 778 µg of phosgene had been collected. The results of these studies are presented in Table 4.5.1.

Table 4.5.1.
Phosgene Breakthrough Data


air volume breakthrough air volume breakthrough
(L) (percent) (L) (percent)

242.1 2.7 273.5 4.8
252.9 5.5 291.8 7.9
257.4 3.4 294.3 5.1
256.1 4.4 357.1 8.4
267.5 6.6 379.8 8.7
270.5 4.3

4.5.2. The effects of reduced relative humidity on the sampling device were investigated by sampling test atmospheres containing phosgene in air with relative humidities of less than 80%. The average phosgene concentration of these atmospheres was 0.3 ppm (3 times the target concentration). Samples were taken at 0.1, 0.5 and 1 L/min. In addition to the recommended sampling device, Supelco sampling tubes were included in these studies. Breakthrough (bt) was defined as before. The sampling tube source (tube), the sampling rates (in L/min), the relative humidities (the average air temperature was 25 ± 2.2°C), the air volumes and the analytical results are presented in Table 4.5.2. Some of the test atmospheres were prepared using dilution air that was essentially dry (Section 4.9.). The relative humidities of these atmospheres were less than the lower limit of the operating range (12 to 100%) of the hygrometer. The relative humidities of these atmospheres are presented as BOR (below operating range).

Table 4.5.2.
Reduced Relative Humidity Study


tube sampling relative air percent of percent
rate humidity volume(L) theoretical bt

SLCAL 0.1 67 24.0 96.8 0.0
SLCAL 0.5 67 120.0 95.4 0.0
SLCAL 1.0 67 240.0 103.0 5.0

Supelco 0.1 67 24.0 73.0 0.0
Supelco 0.5 67 120.0 68.0 0.0
Supelco 1.0 67 240.0 58.4 19.0

SLCAL 0.1 34 24.0 109.8 0.0
SLCAL 0.5 34 120.0 102.4 0.0
SLCAL 1.0 34 240.0 105.5 3.6

Supelco 0.1 34 24.0 85.2 0.0
Supelco 0.5 34 120.0 83.7 0.0
Supelco 1.0 34 240.0 80.5 8.3

SLCAL 0.1 BOR 24.0 95.4 0.0
SLCAL 0.5 BOR 120.0 107.5 1.5
SLCAL 1.0 BOR 240.0 97.0 25.6

Supelco 0.1 BOR 24.0 87.9 0.0
Supelco 0.5 BOR 120.0 97.1 4.5
Supelco 1.0 BOR 240.0 76.9 34.0

Two other studies were performed to determine if the Supelco tube recoveries could be improved. In one study, the Supelco adsorbent was repacked from the Supelco tubes (120/60-mg sections) into different glass tubing to SLCAL tube size specifications (150/75-mg sections). No improvement in recovery was observed, however, breakthrough was less for the repacked tubes than for the original tubes. In the other study, the Supelco tubes were stored for 3 days at ambient temperature before analysis. There was no improvement in recovery in these samples when they were compared to samples which were analyzed immediately.

The reason for the low phosgene recoveries obtained with the Supelco tubes is unknown. Analytical standards that were prepared using Supelco adsorbent gave similar results as those prepared using SLCAL adsorbent.

4.6. Desorption efficiency and stability of desorbed samples

4.6.1. Desorption efficiency

The desorption efficiency of phosgene was determined by spiking the gas into sealed 2-mL glass vials containing 150-mg portions of coated XAD-2 adsorbent. Six samples were prepared at each of three concentrations. Analytical standards were prepared by injecting equivalent amounts of phosgene into 1-mL aliquots of toluene containing 15 mg/mL 2-HMP. The samples and standards were stored at room temperature overnight before analysis.

Table 4.6.1.
The Desorption Efficiency
of Phosgene From XAD-2 Coated with 10% 2-HMP


× target conc. 0.5×
µg/sample 53.0 97.7 196.0

% desorption 100.0 93.8 95.0
efficiency 94.4 93.1 91.8
97.4 93.4 93.9
95.4 93.8 95.3
94.9 94.2 95.7
96.8 96.7 93.1

mean 96.5 94.2 94.1

The average desorption efficiency over the studied range was 94.9%.

4.6.2. Stability of desorbed samples

The stability of desorbed samples was investigated by reanalyzing the target concentration desorption samples following 16 h of storage at room temperature. Fresh standards were used and the sample vials were resealed immediately after the first analysis. The average recovery, relative to the original analysis, was 98.0%.

Table 4.6.2.
The Stability of Desorbed Samples


sample no. 1 2 3 4 5 6

original analysis (µg) 91.6 91.0 91.3 91.6 92.0 94.5
reanalysis (µg) 90.1 88.0 89.5 89.8 90.5 92.8

percent of original (%) 98.4 96.7 98.0 98.0 98.4 98.2

4.7. Storage test

Thirty-six storage samples were generated by sampling a controlled test atmosphere containing 0.4 ppm of phosgene in air for 60 min at 1 L/min. The relative humidity of the sampled air was 61% at 23°C. The samples were stored either at ambient temperature or at -20°C and analyzed at periodic intervals. The results of the storage test are presented in Table 4.7. and are shown graphically in Figures 4.7.1. and 4.7.2.

Table 4.7.
Storage Tests


storage time ambient recovery refrigerated recovery
(days) (percent) (percent)

  0 103.8 101.9   99.1 101.5 101.7 108.8
  4 101.9 106.4 105.9 100.1 103.3 106.6
  7 105.7 108.5 104.6 104.5 107.9 106.0
11 109.8 105.8 106.8 103.2 105.8 105.1
14   96.9 106.6   90.7 103.3 101.4 101.8
19 100.4 102.1 102.1 103.0 102.3 102.6

4.8. Reproducibility data

Reproducibility samples were generated by sampling a controlled test atmosphere containing 0.4 ppm of phosgene in air for 60 min at 1 L/min. The relative humidity of the sampled air was 45% at 26°C. The samples and a draft copy of this evaluation here given to a chemist unassociated with this evaluation. The samples were analyzed after 1 day of storage at ambient temperature. No individual sample deviated from its theoretical value by more than the precision (±13%) at the 95% confidence level for the 19-day storage test (Section 4.7.).

Table 4.8.
Reproducibility Results


sample theoretical analytical percent
no. amount (µg) results (µg) recovery

1 103.6 111.9 108.0
2   97.8 100.0 102.2
3 100.3 107.5 107.2
4 103.9 101.9   98.1
5 106.7 105.5   98.9
6 101.9 106.5 104.5

4.9. Generation of controlled test atmospheres

The controlled test atmospheres which were used in this evaluation were generated by diluting phosgene gas with air. The source of the phosgene was a compressed-gas cylinder which contained 105 ppm of phosgene in nitrogen. The gas cylinder was obtained from the Linde Division of Union Carbide. Phosgene and dilution air were introduced into the generation apparatus, which was constructed from glass and Teflon tubing, using precision, calibrated rotameters. The clean, dry dilution air was humidified, if desired, by passing it through a water bubbler prior to its entering the dilution stream. The water bubbler was contained in a temperature-controlled water bath. The relative humidity of the dilution air could be varied by changing the temperature of the water bath. If dry dilution air was required, the water bubbler was not used. The relative humidity of the test atmosphere was monitored, after mixing, with a YSI Model 91 Dew Point Hygrometer. The test atmosphere passed through a manifold from which samples could be collected.

The phosgene concentration of the test atmosphere was adjusted to the desired level by varying the gas flow rates from the calibrated rotameters.

The theoretical concentrations of the test atmospheres were determined using the manufacturer's concentration of the phosgene gas cylinder and the flow rates from the calibrated rotameters. The average analysis of "day zero" samples, used in the storage tests for this evaluation, was 102.8% of the theoretical concentration. The analytical standards used were prepared with a different, concentrated (99%) phosgene gas cylinder.

4.10. A procedure to coat XAD-2 adsorbent with 2-HMP

4.10.1. Apparatus

4.10.1.1. Soxhlet extractor

4.10.1.2. Rotary evaporator

4.10.1.3. Miscellaneous glassware: One-liter vacuum flask, 1-L round-bottomed evaporative flask, 1-L Erlenmeyer flask, 250-mL Buchner funnel with a coarse fritted disc, etc.

4.10.2. Reagents

4.10.2.1. Methanol, isooctane and toluene. Burdick and Jackson solvents were used in this evaluation.

4.10.2.2. 2-(hydroxymethyl)piperidine. Technical grade 2-HMP, obtained from Aldrich Chemical Company, was recrystallized from isooctane for use in this evaluation.

4.10.2.3. Amberlite XAD-2 non-ionic polymeric adsorbent, 20 to 60 mesh. Aldrich Chemical XAD-2 adsorbent was used in this evaluation.

4.10.3. Procedure

This procedure is very similar to the one described in Section 4.8. of OSHA Method 52: Acrolein and/or Formaldehyde (Ref. 5.1.). Coated adsorbent prepared by the procedure described below can be used for Method 52, if the formaldehyde blank level is determined to be sufficiently low.

Weigh 125 g of crude XAD-2 adsorbent into a 1-L Erlenmeyer flask. Add about 200 mL of water to the flask and then swirl the mixture to wash the adsorbent. Discard any adsorbent that floats to the top of the water and then filter the mixture using a fritted Buchner funnel. Transfer the adsorbent back to the Erlenmeyer flask and repeat the water wash and the filtration. Air dry the adsorbent for about 2 min. Transfer the adsorbent back to the Erlenmeyer flask and add about 200 mL of methanol to the flask. Swirl and filter the mixture as before. Transfer the washed adsorbent to a 1-L evaporative flask and remove the methanol using the rotary evaporation apparatus. Cool the flask to room temperature and add 13 g of 2-HMP and 200 mL of toluene to the flask. Swirl the mixture and allow it to stand for 1 h. Remove the toluene using rotary evaporation. Seal the evaporative flask and allow the coated adsorbent to stand overnight at ambient temperature. Transfer the coated adsorbent to a Soxhlet extractor and extract the material with toluene for about 24 h. Replace the contaminated toluene with fresh toluene and continue the extraction for an additional 24 h. Replace the second aliquot of contaminated toluene with methanol and continue the Soxhlet extraction for 4 h. Transfer the adsorbent to a weighed 1-L round-bottomed evaporative flask and remove the methanol using the rotary evaporation apparatus. Determine the weight of the adsorbent and then add an amount of 2-HMP, which is 10%, by weight, of the adsorbent. Add 200 mL of toluene and then swirl the mixture. Allow the flask to stand for 1 h. Remove the toluene using rotary evaporation. If the last traces of toluene are difficult to remove, add about 100 mL of methanol to the flask, swirl the mixture and then remove the solvents using rotary evaporation. XAD-2 adsorbent treated in this manner will often contain residual formaldehyde derivative levels of about 0.5 µg/150 mg of adsorbent. The formaldehyde blank level and potential acroIe in and phosgene chromatographic interferences should be determined at this time. If the formaldehyde blank and/or any interference is determined to be too high, then the batch should be returned to the Soxhlet extractor, extracted with toluene again and then recoated with 2-HMP. This process can be repeated until the desired blank and level of chromatographic interferences are attained.

The coated adsorbent is now ready to be packed into sampling tubes. Currently, SLCAL is contracting with SKC, Inc. to pack sampling tubes with SLCAL-prepared adsorbent. The sampling tubes should be stored in the dark and segregated by lot number. A sufficient amount of each lot of coated adsorbent should be retained to prepare analytical standards for use with air samples from that lot number.

Figure 3.5.1.

Figure 3.5.1. Phosgene chromatogram.




Figure 4.1.1.

Figure 4.1.1. Detection limit of the analytical procedure.




Figure 4.1.2.

Figure 4.1.2. Blank sample.




Figure 4.4.

Figure 4.4. Phosgene calibration curve.




Figure 4.7.1.

Figure 4.7.1. Ambient temperature storage test.




Figure 4.7.2.

Figure 4.7.2. Refrigerated temperature storage test.

5. References

5.1. "OSHA Analytical Methods Manual"; U.S. Department of Labor, Occupational Safety and Health Administration; OSHA Analytical Laboratory: Salt Lake City, UT, 1985; Method 52; American Conference of Governmental Industrial Hygienists (ACGIH); Publ.(U.S.), No. ISBN: 0-936712-66-X.

5.2. Proctor, N.; Hughes, G. "Chemical Hazards of the Workplace"; J. B. Lippincott Company: Philadelphia, 1978; 414-415.

5.3. Hardy, E. In "Kirk-Othmer Encyclopedia of Chemical Technology"; Grayson, Martin, Ed.; John Wiley & Sons: New York, 1982; Vol. 17 416-425.

5.4. "Criteria for a Recommended Standard ... Occupational Exposure to Phosgene"; U.S. Department of Health, Education and Welfare, National Institute for Occupational Safety and Health; Cincinnati, OH: 1976; DHEW (NIOSH) Publ. (U.S.), No. 76-137.