CHLORPYRIFOS (DURSBAN)
DDVP (DICHLORVOS)
DIAZINON
MALATHION
PARATHION


Method no.: 62

Matrix: Air

Procedure: Samples are collected by drawing known volumes of air through specially constructed glass sampling tubes, each containing a glass fiber filter and two sections of XAD-2 adsorbent. Samples are desorbed with toluene and analyzed by GC using a flame photometric detector (FPD).

Recommended air volume and
sampling rate:

480 L at 1.0 L/min except for Malathion
60 L at 1.0 L/min for Malathion

Status of method: Evaluated method. This method has been subjected to the established evaluation procedures of the Organic Methods Evaluation Branch.

Date: October 1986 Chemist: Donald Burright

Organic Methods Evaluation Branch
OSHA Analytical Laboratory
Salt Lake City, Utah

Target concentrations:   1.0 mg/m3 (0.111 ppm) for Dichlorvos (PEL)
  0.1 mg/m3 (0.008 ppm) for Diazinon (TLV)
  0.2 mg/m3 (0.014 ppm) for Chlorpyrifos (TLV)
15.0 mg/m3 (1.11 ppm) for Malathion (PEL)
  0.1 mg/m3 (0.008 ppm) for Parathion (PEL)

Reliable quantitation limits:
(based on the RAV)
0.0019 mg/m3 (0.21 ppb) for Dichlorvos
0.0030 mg/m3 (0.24 ppb) for Diazinon
0.0033 mg/m3 (0.23 ppb) for Chlorpyrifos
0.0303 mg/m3 (2.2 ppb) for Malathion
0.0031 mg/m3 (0.26 ppb) for Parathion

Standard errors of estimate
at the target concentration:
(Section 4.6.)

5.3% for Dichlorvos
5.3% for Diazinon
5.3% for Chlorpyrifos
5.6% for Malathion
5.3% for Parathion


1. General Discussion

1.1. Background

1.1.1. History

This evaluation was undertaken to develop and evaluate a common sampling procedure for both vapors and aerosols of five organophosphorus pesticides which are frequently analyzed by the OSHA Analytical Laboratory. There are several methods which describe procedures for the sampling of organophosphorus pesticides. These require a variety of sampling media: glass fiber filters, ethylene glycol impingers, XAD-2 tubes (100/50 mg), or Chromosorb 102 tubes (66/33 mg). (Refs. 5.1.-5.3.) Some of the procedures require one of the above sampling media while the others require two of the media in series. Since the collection of these analytes uses a variety of samplers, some of which are inconvenient to use, it would be highly desirable to have a convenient, common sampler.

The sampling procedure specified in this method uses a specially prepared glass tube containing XAD-2 adsorbent and a glass fiber filter inside the tube and in front of the XAD-2. This new sampler is convenient and will adequately collect both vapors and aerosols of the organophosphorus pesticides.

1.1.2. Toxic effects (This section is for information only and should not be taken as a basis for OSHA policy.)

The organophosphorus pesticides have a great potential for acute intoxication which varies considerably from compound to compound. Parathion is very toxic with an oral LD50 in rats of about 2 mg/kg. Malathion is one of the least toxic organophosphorus pesticides with an oral LD50 in rats of 1400 mg/kg. These substances exert their toxic effects through their ability to inhibit cholinesterase. (Ref. 5.4.)

Increased bronchial secretion, salivation, sweating, bradycardia, anxiety, headache, neurosis, slurred speech, disorientation, and convulsions are signs and symptoms that characterize poisoning by organophosphorus pesticides in workers. Respiratory failure is the most usual cause of death from a single, high dose. (Ref. 5.4.)

Malathion and dichlorvos have shown no clear evidence of carcinogenicity in test animals. Parathion, diazinon and dichlorvos are reported to be slightly teratogenic in test animals. (Ref. 5.4.)

All of the organophosphorus pesticides in this evaluation are absorbed through the skin and this is noted in the lists of OSHA PELs and ACGIH TLVs.

1.1.3. Workplace exposure

In 1975, 666 million pounds of pesticides (organophosphorus, organochlorine and carbamate pesticides) were produced in the United States. An estimated 8700 workers were employed in the manufacture and formulation of pesticides in 1972. However, in these industries there are over 350,000 additional production employees who have the potential for exposure because they work at a plant that produces pesticides. (Ref. 5.4.)

1.1.4. Physical properties and other descriptive information (Ref. 5.5. unless otherwise indicated)

Dichlorvos

CAS no.: 62-73-7
MW: 220.98
density: 1.415 at 25°C
boiling point: 117°C at 10 mm Hg
vapor pressure: 0.012 mm Hg at 20°C
color: colorless to amber
molecular formula: C4H7Cl2O4P
synonyms: 2,2-dichloroyinyl dimethylphosphate; DDVP
structure: Dichlorvos structure

Diazinon

CAS no.: 333-41-5
MW: 304.36
density: 1.117 at 20°C
boiling point: 83-84°C at 0.002 mm Hg
vapor pressure: 0.00014 mm Hg
color: colorless liquid
molecular formula: C12H21N2O3PS
synonyms: 0,0-diethyl 0-2-isopropyl-4-methyl-6-pyrimidinyl thiophosphate; Spectracide
structure: Diazinon structure

Chlorpyrifos

CAS no.: 2921-88-2
MW: 350.57
melting point: 41-42°C
vapor pressure: 0.0000187 mm Hg at 25°C
color: white crystals
molecular formula: C9H11Cl3NO3PS
synonyms: 0,0-diethyl 0-(3,5,6-trichloro-2-pyridinyl) phosphorothioate; Dursban; Lorsban
structure: Chlorpyrifos structure

Malathion

CAS no.: 121-75-5
MW: 330.36
density: 1.23 at 25°C
boiling point: 156°C at 0.7 mm Hg
melting point: 2.9°C
vapor pressure: 0.00004 mm Hg at 20°C
color: clear to amber liquid
molecular formula: C10H19O6PS2
synonyms: [(dimethoxyphosphinothioyl) thio] butanedioic acid diethyl ester
structure: Malathion structure

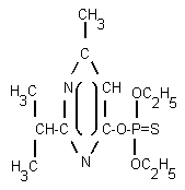
Parathion

CAS no.: 56-38-2
MW: 291.27
density: 1.267 at 25°C
boiling point: 375°C at 760 mm Hg
melting point: 6°C
vapor pressure: 0.0000378 mm Hg at 20°C
color: pale yellow liquid
molecular formula: C10H14NO5PS
synonyms: 0,0-diethyl 0-p-nitrophenylphosphorothioate; DNTP; ethyl parathion
structure: Parathion structure

1.2. Limit defining parameters (The analyte air concentrations listed throughout this method are based on the appropriate air volume of 60 L for malathion or 480 L for the other pesticides and a solvent desorption volume of 2 mL. Air concentrations listed in ppm are referenced to 25°C and 760 mm Hg.)

1.2.1. Detection limits of the analytical procedure

The detection limits of the analytical procedure are listed below. These are the amounts of analytes which will give peaks whose areas are about 5 times that of a nearby contaminant. (Section 4.1.)

Table 1.2.1.
Analytical Detection Limits


compound ng/injection

Dichlorvos 0.55
Diazinon 0.91
Chlorpyrifos 0.99
Malathion 1.1  
Parathion 0.94

1.2.2. Detection limits of the overall procedure

The detection limits of the overall procedure are listed below. These are the amounts of each analyte spiked on the sampling device which allow recoveries of amounts equivalent to the detection limits of the analytical procedure. (Section 4.2.)

Table 1.2.2.
Detection Limits of the Overall Procedure
and Reliable Quantitation Limits


Dichlorvos Diazinon Chlorpyrifos Malathion Parathion

µg/sample 0.92 1.5 1.6 1.8 1.5
µg/m3 1.9 3.0 3.3 30 3.1
ppb 0.21 0.24 0.23 2.2 0.26

1.2.3. Reliable quantitation limits


The reliable quantitation limits are listed in Table 1.2.2. and are equal to the detection limits of the overall procedure. These are the smallest amounts of each analyte which can be quantitated within the requirements of a recovery of at least 75% and a precision (±1.96 SD) of ±25% or better. (Section 4.2.)


1.2.4. Instrument response to the analytes

The instrument response over the concentration range of 0.5 to 2 times the target concentrations is linear. (Section 4.4.)

1.2.5. Recoveries

The recoveries of each analyte from samples used in a 17-day storage test remained above the percentages listed below when the samples were stored at about 22°C. (Section 4.6.) The recovery of the analytes from the collection medium during storage must be 75% or greater.

Table 1.2.5.
Recoveries from Ambient Storage


    compound %

  Dichlorvos 91.2
  Diazinon 98.5
  Chlorpyrifos 96.6
  Malathion 94.6
  Parathion 96.7

1.2.6. Precisions (analytical procedure)

The pooled coefficients of variation obtained from replicate determinations of analytical standards at 0.5, 1 and 2 times the target concentration are shown below. (Section 4.3.)

Table 1.2.6.
Precision of the Analytical Procedure


compound pooled CV

Dichlorvos 0.024
Diazinon 0.021
Chlorpyrifos 0.025
Malathion 0.012
Parathion 0.029

1.2.7. Precisions (overall procedure)

The precisions at the 95% confidence level for the 17-day ambient temperature storage tests are listed below. (Section 4.6.) These each include an additional ±5% for sampling error. The overall procedure must provide results at the target concentration that are ±25% or better at the 95% confidence level.

Table 1.2.7.
Precision of the Overall Procedure


    compound %

  Dichlorvos 10.3
  Diazinon 10.3
  Chlorpyrifos 10.2
  Malathion 10.8
  Parathion 10.3

1.2.8. Reproducibilities

Six samples, spiked by liquid injection with the analytes, and a draft copy of this procedure were given to a chemist unassociated with this evaluation. The samples were analyzed after 35 days of storage at about 0°C. No individual sample deviated from its theoretical value by more than the precision reported in Section 1.2.7. (Section 4.7.)

1.3. Advantages

1.3.1. The sampling procedure provides a common sampling device to collect a number of organophosphorus pesticides.

1.3.2. Full 8-h samples can be taken of dichlorvos, diazinon, chlorpyrifos and parathion at the target concentration.

1.4. Disadvantage

Currently, the sampling tube is not commercially available.

2. Sampling Procedure

2.1. Apparatus

2.1.1. Samples are collected by use of a personal sampling pump that can be calibrated to within ±5% of the recommended flow rate with the sampling device in line.

2.1.2. Samples are collected on specially made 11-mm i.d. × 13-mm o.d. × 5.0 cm long glass tubes which are packed with a 140-mg backup section and a 270-mg sampling section of cleaned XAD-2 and a 13-mm diameter glass fiber filter.

The backup section is retained by two foam plugs and the sampling section is between one foam plug and the glass fiber filter. The glass fiber filter is held next to the sampling section by a polytetrafluoroethylen (PTFE) retainer. (Sections 4.11.-4.12. and Figure 4.12.)

2.2. Reagents

No sampling reagents are required.

2.3. Sampling technique

2.3.1. Attach the sampling tube to the sampling pump with flexible, plastic tubing such that the large, front section of the sampling tube is exposed directly to the atmosphere. Do not place any tubing in front of the sampler. The sampler should be attached vertically (large end down) in the worker's breathing zone in such a manner that it does not impede work performance.

2.3.2. After sampling for the appropriate time, remove the sampling device and seal the tube with plastic end caps.

2.3.3. Wrap each sample end-to-end with an OSHA seal (Form 21).

2.3.4. With each set of samples, submit at least one blank. The blank should be handled the same as the other samples except that no air is drawn through it.

2.3.5. Bulk samples should be sent for analysis in a separate container and not with the air samples.

2.4. Sampler capacity

When controlled test atmospheres, containing aerosols of 0.9 mg/m3 of diazinon (9 times the TLV) or 38.8 mg/m3 of malathion (2.5 times the OSHA PEL), were sampled using the recommended sampling device, less than 5% breakthrough was observed after sampling for 1.5 times the recommended air volume. Five-percent breakthrough was defined as the point at which 5% of the total collected on the entire tube was found on the backup section. (Section 4.9.) Since some of the analytes were not readily available in sufficient quantity, diazinon and malathion were the only organophosphorus pesticides used to produce a concentrated test aerosol. They were selected for the study because they represented the two extremes when comparing target concentrations. Diazinon was used to test the sampler's ability to collect a sample for 8 h. Malathion was used to test the maximum amount of analyte that the sampler would hold. The other three organophosphorus pesticides of this evaluation should collect just as well based on the results of the retention test.

To test the sampler's ability to retain organophosphorus pesticides, a target concentration amount of each analyte was liquid spiked onto 6 sampling tubes. Humid air (about 80% relative humidity) was pulled through the tubes for about 8 h at 1 L/min. When the samples were analyzed, it was found that all the analytes were present at levels equal to 99-102% of the spiked amounts. (Section 4.8.)

The new sampling tube was compared, side-by-side, with an ethylene glycol bubbler in several test atmospheres containing an aerosol of diazinon. The amount of diazinon collected by the two samplers was about the same. (Section 4.10.)

2.5. Extraction and desorption efficiencies

2.5.1. The extraction efficiencies from the glass fiber filters are listed below. (Section 4.5.)

Table 2.5.1.
Extraction Efficiencies from GFF


    compound %

  Dichlorvos 100.0
  Diazinon 96.5
  Chlorpyrifos 97.9
  Malathion 95.9
  Parathion 97.8

2.5.2. The average desorption efficiencies from the lot of cleaned XAD-2 adsorbent used in this evaluation are listed below. (Section 4.5.)

Table 2.5.2.
Average Desorption Efficiencies from XAD-2


        compound %

      Dichlorvos 97.4
      Diazinon 98.0
      Chlorpyrifos 98.8
      Malathion 100.4
      Parathion 97.5

2.5.3. Extracted/desorbed samples remain stable for at least 24 h. (Section 4.5.)

2.6. Recommended air volume and sampling rate

2.6.1. The recommended air volume is 480 L for all the analytes except Malathion which is 60 L.

2.6.2. The recommended air sampling rate is 1.0 L/min.

2.6.3. When short-term air samples are required, the recommended sampling rate is 1 L/min. A 15-min sample at the reliable quantitation limit is equivalent to the following values.

Table 2.6.3.
Short-term Limit


compound mg/m3

Dichlorvos 0.061
Diazinon 0.097
Chlorpyrifos 0.100
Malathion 0.120
Parathion 0.098

2.7. Interferences (sampling)

Suspected interferences should be reported to the laboratory with submitted samples.

2.8. Safety precautions (sampling)

2.8.1. The sampling equipment should be attached to the worker in such a manner that it will not interfere with work performance or safety.

2.8.2. All safety practices that apply to the work area being sampled should be followed.

3. Analytical Procedure

3.1. Apparatus

3.1.1. A gas chromatograph (GC) equipped with a flame photometric detector (FPD). A Hewlett-Packard 5730A GC fitted with an FPD operating in the phosphorus mode was used in this evaluation. Injections were performed using a Hewlett-Packard 7671A automatic sampler.

3.1.2. A GC column capable of resolving the pesticides from any interference. A 30-m × 0.53-mm i.d. DB-210 Megabore GC column, 1.0-µm depth of film, was used in this evaluation and is available from J&W Scientific, Inc., Rancho Cordova, CA.

3.1.3. Vials, 2 and 4-mL glass with PTFE-lined caps.

3.1.4. Volumetric flasks, pipets and syringes for preparing standards, making dilutions and performing injections.

3.1.5. Analytical balance.

3.2. Reagents

3.2.1. Hydrogen, air, oxygen and nitrogen, GC grade.

3.2.2. Dichlorvos. The origin of the dichlorvos used in this evaluation is unknown but dichlorvos can be obtained from Chem Services.

3.2.3. Diazinon, chlorpyrifos, malathion and parathion. Analytical standards from Chem Services were used for this evaluation.

3.2.4. Toluene, pesticide grade.

3.2.5. Tributyl phosphate, reagent grade.

3.2.6. Extracting/desorbing solution. If an internal standard method is used, the extracting/desorbing solution is prepared by adding 8 µL of tributyl phosphate to 100 mL of toluene. Otherwise, only toluene is used.

3.3. Standard preparation

Stock standard solutions are prepared by adding the analytes to toluene. Working range standard solutions are prepared by injecting appropriate microliter volumes of stock solutions into sealed 2-mL glass vials containing desorbing solution.

3.4. Sample preparation

3.4.1. Transfer the glass fiber filter and the 270-mg section of the sampling tube to a 4-mL glass vial. Place the first foam plug and the 140-mg section in a separate vial. A small glass funnel can be used to facilitate the transfer of the adsorbent. Discard the rear foam plug. Do not discard the glass sampling tube; it can be reused after it has been cleaned by surfactant or solvent washing.

3.4.2. Add 2.0 mL of desorbing solution to each vial.

3.4.3. Seal the vials with PTFE-lined caps and allow them to desorb for 1 h. Shake the vials by hand with vigorous force several times during the desorption time.

3.5. Analysis

3.5.1.

GC conditions

initial column temp: 150°C
initial hold time: 2 min
temp program rate: 16°C/min
final column temp: 200°C
final hold time: 8 min
injector temp: 200°C
nitrogen flow rate: 5 mL/min
injection volume: 1.3 µL
GC column: 30 m × 0.53-mm i.d. DB-210 Megabore, 1.0-µm film

FPD conditions

hydrogen flow rate: 200 mL/min
oxygen flow rate: 60 mL/min
air flow rate: 30 mL/min
detector temp: 300°C

chromatogram: Figure 3.5.1.

3.5.2. Use a suitable method, such as electronic integration, to measure detector response.

3.5.3. Use an internal standard procedure to prepare a calibration curve using several solutions over a range of concentrations. The calibration curve is prepared daily. The samples are bracketed with analytical standards.

3.6. Interferences (analytical)

3.6.1. Any compound having a similar retention time as the analyte is a potential interference. Generally, chromatographic conditions can be altered to separate an interference from the analyte.

3.6.2. Retention time on a single column is not proof of chemical identity. Analysis by an alternate GC column, detection by an FPD detector in the sulfur mode for the sulfur containing pesticides, and mass spectrometry are additional means of identification.

3.7. Calculations

3.7.1. Results are obtained by use of calibration curves. Calibration curves are prepared by plotting detector response against concentration for each standard. The best line through the data points is determined by curve fitting.

3.7.2. The concentration, in µg/mL, for a particular sample is determined by comparing its detector response to the calibration curve. If a pesticide is found on the backup section, it is added to the amount found on the front section. Blank corrections should be performed before adding the results together.

3.7.3. The air concentration of each pesticide can be expressed using the following equation:

mg/m3 = (A)(B)/(C)(D)

where A = µg/mL from Section 3.7.2.
B = extraction/desorption volume
C = liters of air sampled
D = correction factor for desorption and extraction efficiencies (decimal)

The correction factor should be determined for the particular batch of resin and filter used for the sample. To obtain this value, the spiked samplers are analyzed as stated in Section 3.4.

3.8. Safety precautions (analytical)

3.8.1. Avoid exposure to all standards.

3.8.2. Avoid exposure to all solvents.

3.8.3. Wear safety glasses at all times.

4. Backup Data

4.1. Detection limits of the analytical procedure

The detection limits of the analytical procedure are listed below. These amounts produced peaks whose areas were about 5 times the area of a nearby contaminant. The injection volume recommended in the analytical procedure (1.3 µL) was used in the determination of the detection limits for the analytical procedure. (Figures. 4.1.1.-4.1.5.)

Table 4.1.
The Detection Limits of the Analytical Procedure


Dichlorvos Diazinon Chlorpyrifos Malathion Parathion

ng/injection 0.55 0.91 0.99 1.11 0.94

4.2. Detection limits of the overall procedure and reliable quantitation limits

The injection size recommended in the analytical procedure (1.3 µL) was used in the determination of the detection limits of the overall procedure and in the determination of the reliable quantitation limits. Six samples were each liquid spiked with a solution containing an amount of each pesticide equal to its respective analytical detection limit. Since the recoveries of the pesticides from the samples were high and approximately equivalent to the detection limit of the analytical procedure, the detection limits of the overall procedure and reliable quantitation limits were the same.

Table 4.2.
Detection Limits of the Overall
Procedure and Reliable Quantitation Limits


Dichlorvos Diazinon Chlorpyrifos Malathion Parathion
µg/sample 0.92 1.5 1.6 1.8 1.5
µg/m3 1.9 3.0 3.3 30.0 3.1
ppb 0.21 0.24 0.23 2.2 0.26

% recovered 96.1 101.4 100.7 98.1 99.5
100.7 101.6 102.4 101.9 101.0
95.6 102.6 101.5 102.9 100.1
94.8 102.3 101.1 98.8 100.4
94.5 103.0 101.0 98.5 99.9
96.1 103.4 101.6 101.2 100.5

mean 96.3 102.4 101.4 100.2 100.2
SD 2.2 0.8 0.6 2.0 0.5
1.96 SD 4.4 1.6 1.2 4.0 1.0

4.3. Precision (analytical method only)

The precision of the analytical method was evaluated by performing multiple injections of analytical standards.

Table 4.3.1.
Precision Data at 0.5× Target Concentration


Dichlorvos Diazinon Chlorpyrifos Malathion Parathion
µg/mL 120.5 11.95 24.63 224.8 12.65

area 1185990 103755 198786 1905040 110989
counts 1125110 100516 188632 1908640 103930
1103090 98473 184429 1912120 105559
1167270 102957 195703 1941630 107360
1182980 103644 196519 1929490 107359
1195290 103738 197442 1951340 109450

mean 1159955 102181 193585 1924710 107441
SD 37304 2198 5716 19088 2550
CV 0.0322 0.0215 0.0295 0.0099 0.0237




Table 4.3.2.
Precision Data at 1× Target Concentration


Dichlorvos Diazinon Chlorpyrifos Malathion Parathion
µg/mL 241 23.9 49.25 449.5 25.5

area 2323170 211292 395118 3698720 226283
counts 2271550 205902 382438 3626800 209312
2266650 204886 380773 3568190 210488
2253280 202571 378326 3595070 209809
2248770 201906 377308 3652240 213875
2238240 200205 377462 3670850 206860

mean 2266943 204460 381904 3635311 212771
SD 30078 3928 6780 48512 6995
CV 0.0133 0.0192 0.0178 0.0133 0.0329




Table 4.3.3.
Precision Data at 2× Target Concentration


Dichlorvos Diazinon Chlorpyrifos Malathion Parathion
µg/mL 482 47.8 98.5 899 50.6

area 4336740 400470 750063 6208470 431463
counts 4170580 379532 706018 6430650 403799
4323280 393259 733176 6262580 419880
4369850 400784 747974 6278710 433163
4425880 402397 755150 6279130 431327
4408310 403883 755318 6355910 436763

mean 4339107 396721 741283 6302575 426066
SD 91565 9182 19081 78512 12294
CV 0.0211 0.0231 0.0257 0.0125 0.0289




Table 4.3.4.
Pooled Coefficient of Variation


Dichlorvos Diazinon Chlorpyrifos Malathion Parathion

pooled coefficient of variation 0.024 0.021 0.025 0.012 0.029

4.4. Instrument response to the analytes

The data in Tables 4.3.1.-4.3.3. are presented graphically in Figures 4.4.1.-4.4.5. These figures show calibration curves over the concentration range of 0.5 to 2 times the target concentrations. The instrument response is linear over this range.

Table 4.4.
Sensitivities


compound area counts
per µg/mL

Dichlorvos 8770
Diazinon 8190
Chlorpyrifos 7400
Malathion 6410
Parathion 8400

4.5. Extraction and desorption efficiencies

4.5.1. Extraction from glass fiber filter

The data below represent the results of the analysis of glass fiber filters that were liquid spiked with the pesticides at the target concentrations. These samples were allowed to sit overnight and then extracted with the extracting solution and analyzed.

Table 4.5.1.
Extraction Efficiency of Pesticides at 1× Target Concentration


Dichlorvos Diazinon Chlorpyrifos Malathion Parathion
µg/sample 482 47.8 98.5 899 50.6

extraction 101.3 95.7 97.2 95.3 96.9
efficiency, 99.8 94.9 96.5 94.4 96.4
% 99.7 96.0 97.6 94.9 97.3
99.9 96.1 97.2 95.4 97.6
99.1 97.0 98.1 96.6 98.6
100.3 99.0 100.6 98.8 100.1

mean 100.0 96.5 97.9 95.9 97.8

4.5.2. Desorption from XAD-2 adsorbent

The data below are the results of the analysis of XAD-2 adsorbent that was liquid spiked with pesticides at 0.5 to 2 times the target concentrations. These samples were allowed to sit overnight and then desorbed with the desorbing solution and analyzed.

Table 4.5.2.1.
Desorption Efficiency of Pesticides at 0.5× Target Concentration


Dichlorvos Diazinon Chlorpyrifos Malathion Parathion
µg/sample 241 23.9 49.25 449.5 25.3

desorption 98.3 94.2 95.8 96.1 92.8
efficiency, 98.0 94.3 95.8 98.8 92.8
% 98.5 94.7 96.5 96.7 93.4
98.6 94.3 96.1 106.2 93.1
98.4 94.9 96.6 98.0 93.3
98.4 95.7 97.4 98.4 93.9

mean 98.3 94.7 96.4 99.0 93.2




Table 4.5.2.2.
Desorption Efficiency of Pesticides at 1× Target Concentration


Dichlorvos Diazinon Chlorpyrifos Malathion Parathion
µg/sample 482 47.8 98.5 899 50.6

desorption 97.4 96.8 97.7 98.7 95.9
efficiency, 97.4 97.4 98.9 99.0 96.2
% 96.8 97.2 98.9 99.5 96.2
96.5 97.6 99.3 99.6 96.5
96.7 98.4 100.2 101.0 97.3
96.2 98.8 100.6 101.4 98.1

mean 96.8 97.7 99.3 99.9 96.7




Table 4.5.2.3.
Desorption Efficiency of Pesticides at 2× Target Concentration


Dichlorvos Diazinon Chlorpyrifos Malathion Parathion
µg/sample 964 95.6 197 1798 101.2

desorption 96.5 100.4 99.1 99.7 100.9
efficiency, 97.6 101.1 99.7 100.7 101.8
% 97.5 101.6 100.3 102.8 102.3
97.5 102.9 101.6 103.2 103.7
96.1 101.7 101.5 103.0 102.6
97.2 102.8 101.5 104.8 103.6

mean 97.1 101.8 100.6 102.4 102.5




Table 4.5.2.4.
Average Desorption Efficiency of Pesticides, %


Dichlorvos Diazinon Chlorpyrifos Malathion Parathion

mean 97.4 98.0 98.8 100.4 97.5

4.5.3. The desorption efficiency samples, from the adsorbent, at the 1× level for each organophosphorus pesticides were reanalyzed the next day with fresh standards.

Table 4.5.3.
Stability of Desorbed Samples


Dichlorvos Diazinon Chlorpyrifos Malathion Parathion

desorption 95.9 98.0 97.9 99.2 96.9
efficiency, 96.0 98.4 98.4 100.0 97.6
% 95.8 98.2 97.9 99.8 97.2
95.6 98.6 98.4 100.2 97.7
95.4 98.7 98.6 100.8 97.6
96.3 98.9 98.9 101.4 98.1

mean 95.8 98.5 98.4 100.2 97.5
% of original 99.0 100.8 99.1 100.3 100.8

4.6. Storage data

Storage samples were generated by liquid spiking 36 sampling tubes with the five pesticides (the amount of each spike is listed in Table 4.5.1.) and then pulling 60 L of humid air through them (about 80% relative humidity). One-half of the tubes were stored in a freezer at -20°C and the other half were stored in a closed drawer at ambient temperature (about 22°C). The results (percent recovered versus storage time) are given below and shown graphically in Figures 4.6.1.-4.6.10.

Table 4.6.1.
Ambient Storage Test, % Recovery


day Dichlorvos Diazinon Chlorpyrifos Malathion Parathion

0 97.7 97.9 96.5 95.4 97.0
98.7 100.8 99.4 99.3 100.0
100.5 102.2 101.3 101.8 101.8
100.1 102.9 101.7 101.3 102.0
100.5 103.5 102.5 101.9 102.6
100.3 103.4 102.3 103.9 103.3

3 95.6 98.7 97.8 95.3 98.3
96.2 100.7 100.2 98.0 101.1
97.5 100.9 100.4 98.1 101.3

7 95.5 102.2 100.5 100.8 101.2
94.5 100.6 99.2 100.4 99.8
94.9 102.4 101.0 101.4 101.4

10 89.0 101.2 99.2 97.1 99.6
94.3 101.8 100.2 98.7 101.0
93.5 102.0 100.3 98.4 100.9

14 93.1 99.0 97.6 94.0 97.9
92.4 97.8 96.1 92.8 96.3
92.2 97.5 96.0 93.4 96.3

17 91.9 97.9 96.1 95.7 96.1
92.8 98.3 95.9 94.3 95.9
93.3 97.9 96.1 95.3 95.7




Table 4.6.2.
Refrigerated Storage Test, % Recovery


day Dichlorvos Diazinon Chlorpyrifos Malathion Parathion

0 97.7 97.9 96.5 95.4 97.0
98.7 100.8 99.4 99.3 100.0
100.5 102.2 101.3 101.8 101.8
100.1 102.9 101.7 101.3 102.0
100.5 103.5 102.5 101.9 102.6
100.3 103.4 102.3 103.9 103.3

3 92.8 104.3 103.2 100.8 105.0
92.4 103.2 102.1 101.0 103.9
93.4 103.5 102.4 100.5 104.0

7 96.7 103.7 102.0 102.4 102.6
95.4 101.8 100.5 102.8 101.4
95.9 103.6 102.4 102.7 103.1

10 96.6 102.3 100.5 98.4 101.0
96.4 104.5 100.5 98.7 101.8
96.9 102.0 100.8 100.0 101.8

14 94.9 98.2 97.5 95.4 97.9
95.8 100.5 99.1 96.7 99.8
96.6 99.3 98.9 97.0 101.4

17 96.3 98.3 96.9 95.6 96.8
96.2 98.6 97.7 96.4 97.2
96.0 98.9 96.9 95.6 96.7

4.7. Reproducibility data

Six samples, liquid spiked with the five analytes of the evaluation, were given to a chemist unassociated with this study. The samples were analyzed after being stored for 35 days at 0°C. The results were not corrected for desorption efficiency.

Table 4.7.1.
Reproducibility Results for Dichlorvos


sample µg theoretical µg found % recovered

1 482 472.7 98.1
2 723 708.4 98.0
3 482 477.8 99.1
4 723 716.9 99.2
5 482 479.3 99.4
6 723 704.7 97.5

mean = 98.6




Table 4.7.2.
Reproducibility Results for Diazinon


sample µg theoretical µg found % recovered

1 47.8 46.9 98.1
2 71.7 71.0 99.0
3 47.8 48.7 101.9
4 71.7 72.0 100.4
5 47.8 49.5 103.6
6 71.7 72.9 101.7

mean = 100.8




Table 4.7.3.
Reproducibility Results for Chlorpyrifos


sample µg theoretical µg found % recovered

1 98.5 100.1 101.6
2 147.8 147.3 99.7
3 98.5 102.0 103.6
4 147.8 151.2 102.3
5 98.5 103.5 105.1
6 147.8 149.9 101.4

mean = 102.3




Table 4.7.4.
Reproducibility Results for Malathion


sample µg theoretical µg found % recovered

1 1016 1029 101.3
2 1524 1522 99.9
3 1016 1034 101.8
4 1524 1510 99.1
5 1016 1049 103.2
6 1524 1545 101.4

mean = 101.1




Table 4.7.5.
Reproducibility Results for Parathion


sample µg theoretical µg found % recovered

1 50.6 50.9 100.6
2 75.9 75.6 99.6
3 50.6 51.6 102.0
4 75.9 75.3 99.2
5 50.6 51.7 102.2
6 75.9 76.5 100.8

mean = 100.7

4.8. Retention efficiency

To test the ability of the sampler to retain the analytes, six samplers were liquid spiked with target concentration amounts of the five pesticides. Humid air (about 80% relative humidity) was pulled through the samplers for 8 h at about 1 L/min. The results of the test show that the amount of breakthrough to the back section was about 1% for all five of the pesticides tested. Once the analyte has been collected, it will be retained by the sampling tube.

Table 4.8.1.
Percent Recovered from the Front Section


air vol. (L) Dichlorvos Diazinon Chlorpyrifos Malathion Parathion

475 95.9 99.3 99.9 99.1 99.5
458 99.0 101.6 102.5 101.2 101.3
472 98.7 101.0 101.9 99.2 100.7
489 100.8 102.2 103.1 99.9 102.0
476 99.3 100.9 102.1 101.3 100.7
462 100.1 101.0 102.0 100.4 100.6

mean 99.0 101.0 101.9 100.2 100.8
SD 1.7 1.0 1.1 1.0 0.8




Table 4.8.2.
Percent Recovered from the Backup Section


air vol. (L) Dichlorvos Diazinon Chlorpyrifos Malathion Parathion

475 0.8 1.3 0.9 0.8 0.9
458 0.8 1.4 0.9 0.8 0.8
472 0.9 1.3 0.9 0.7 0.7
489 1.2 1.6 1.2 1.0 1.2
476 1.1 1.9 1.2 1.0 1.2
462 1.0 1.6 1.1 0.9 1.0

mean 1.0 1.5 1.0 0.9 1.0
SD 0.2 0.2 0.2 0.1 0.2

4.9. Breakthrough

4.9.1. Diazinon

A breakthrough study was performed with the recommended collection device by sampling a controlled test aerosol atmosphere containing diazinon in air. The average diazinon concentration was 0.9 mg/m3 (about 9 times the target concentration). The sampling rates were about 1 L/min. Breakthrough was defined as the amount of diazinon found on the backup section divided by the amount of diazinon collected on the entire sampling tube. The results of this study are presented below. The capacity of the sampling tube is more than adequate to sample all day at 1 L/min.

Table 4.9.1.
Diazinon Breakthrough Data


air volume µg breakthrough
(L) (collected) (percent)

177 130.9 1.0
241 188.1 0.8
289 233.8 0.7
355 278.3 0.8
417 379.0 0.4
485 432.1 1.2
544 489.9 1.2
588 553.6 0.5
673 661.4 2.4
731 720.6 0.5

4.9.2. Malathion

A breakthrough study was performed with the recommended collection device by sampling a controlled test aerosol atmosphere containing malathion in air. The average malathion concentration was 38.8 mg/m3 (about 2.5 times the target concentration). The sampling rates were about L/min. Breakthrough was defined as the amount of malathion found on the backup section divided by the amount of malathion collected on the entire sampling tube. The results of this study are presented below. The capacity of the sampling tube is more than adequate to sample for 1 h at 1 L/min.

Table 4.9.2.
Malathion Breakthrough Data


air volume µg breakthrough
(L) (collected) (percent)

15.2 595.4 1.7
29.1 1170.1 1.8
42.3 1681.1 1.3
58.2 2374.0 0.9
74.3 2893.4 0.6
91.8 3130.6 3.9

4.10. Comparison of tubes and bubblers

Several test aerosol atmospheres of diazinon were sampled with the sampling tube and a bubbler containing 10 mL of ethylene glycol for about 2 h at 1 L/min. The two sampling procedures gave comparable results.

Table 4.10.
Side-by side Comparison


sampler air vol. µg mg/m3
(L) collected

tube 116 73.6 0.63
bubbler 118 55.8 0.47

tube 120 62.8 0.52
bubbler 123 79.2 0.64

tube 128 60.2 0.47
tube 134 68.0 0.51
bubbler 125 55.9 0.45
bubbler 122 57.8 0.47

4.11. Preparation of the XAD-2 adsorbent

4.11.1. Apparatus

4.11.1.1. Soxhlet extractor

4.11.1.2. Rotary evaporator

4.11.1.3. Miscellaneous glassware: vacuum flask, 2-L round-bottom flask, Erlenmeyer flask, 250-mL Buchner funnel with coarse fritted disc, etc.

4.11.1.4. Urethane foam plugs, 3/8 in. × 1/2-in. diameter and 3/16 in. × 1/2-in. diameter.

4.11.1.5. Glass fiber filters, 1/2-in. diameter or 13-mm diameter.

4.11.1.6. PTFE tubing, 1/2-in. o.d. × 3/8-in. i.d. × 1/8 in.

4.11.1.7. Glass sampling tube. The sampling tube is constructed of two pieces of Pyrex tubing that have been joined together by a glass blower. One of the pieces is 13-mm o.d. × 11-mm i.d. × 50 mm, the other one is 6-mm o.d. × 4-mm i.d. × 25 mm. (Figure 4.12.)

4.11.1.8. Plastic cap, 1/2-in. i.d. × 7/8 in. Alliance Plastics, Inc., Erie PA.

4.11.1.9. Plastic cap, 7/32-in. i.d. × 3/4 in. SKC, Inc.

4.11.2. Reagents

4.11.2.1. Methanol, HPLC grade.

4.11.2.2. Toluene, HPLC grade.

4.11.2.3. Amberlite XAD-2 non-ionic polymeric adsorbent, 20/60 mesh. Aldrich Chemical XAD-2 adsorbent was used in this evaluation.

4.11.3. Cleaning of adsorbent

Add 500 g of crude XAD-2 adsorbent to a large Erlenmeyer flask and pour in enough water to cover the adsorbent. Swirl the flask to wash the beads and discard the adsorbent that floats to the surface of the water. Filter the adsorbent using a Buchner funnel. Transfer the beads back to the Erlenmeyer flask and repeat the water wash and filtration. Allow the adsorbent to air dry in the funnel for several minutes. Transfer the dried adsorbent to a Soxhlet extractor and extract the material with methanol for 24 h. Replace the contaminated methanol with toluene and continue extracting for another 24 h. Replace the toluene with fresh methanol and continue extracting for 4 h. Transfer the cleaned adsorbent to a round-bottom flask and remove the methanol with the rotary evaporator. When dry, the cleaned adsorbent is now ready to be packed into sampling tubes.

4.12. Assembly of the sampler

Place a large foam plug in the bottom of the large end of the glass tube. Add 140 mg of cleaned XAD-2 adsorbent to the tube. With the beads level, place the small foam plug on the beads. Next add 270 mg of cleaned XAD-2 adsorbent to the tube, followed by the glass fiber filter. The filter should form a small cup and touch the sides of the tube all around. Cut out a small arc of the PTFE tubing so that the PTFE tubing can be inserted inside the glass tube. Gently press the PTFE retainer against the glass fiber filter. Cap the ends of the sampling tube. (Figure 4.12.)




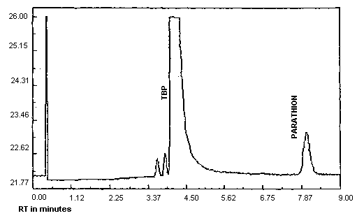
Chromatogram of five organophosphate pesticides at the target concentration

Figure 3.5.1. Chromatogram of five organophosphate pesticides at the target concentration.




Analytical detection limit for Dichlorvos, 0.55 ng/injection

Figure 4.1.1. Analytical detection limit for Dichlorvos, 0.55 ng/injection.




Analytical detection limit for Diazinon, 0.91 ng/injection

Figure 4.1.2. Analytical detection limit for Diazinon, 0.91 ng/injection.




Analytical detection limit for Chlorpyrifos, 0.99 ng/injection

Figure 4.1.3. Analytical detection limit for Chlorpyrifos, 0.99 ng/injection.




Analytical detection limit for Malathion, 1.11 ng/injection

Figure 4.1.4. Analytical detection limit for Malathion, 1.11 ng/injection.




Analytical detection limit for Parathion, 0.94 ng/injection

Figure 4.1.5. Analytical detection limit for Parathion, 0.94 ng/injection.




Calibration curve for Dichlorvos

Figure 4.4.1. Calibration curve for Dichlorvos,
slope = 8770 area counts per microgram per milliliter.




Calibration curve for Diazinon

Figure 4.4.2. Calibration curve for Diazinon,
slope = 8190 area counts per microgram per milliliter.




Calibration curve for Chlorpyrifos

Figure 4.4.3. Calibration curve for Chlorpyrifos,
slope = 7400 area counts per microgram per milliliter.




Calibration curve for Malathion

Figure 4.4.4. Calibration curve for Malathion,
slope = 6410 area counts per microgram per milliliter.




Calibration curve for Parathion

Figure 4.4.5. Calibration curve for Parathion,
slope = 8400 area counts per microgram per milliliter.




Ambient storage test for Dichlorvos

Figure 4.6.1. Ambient storage test for Dichlorvos.




Refrigerated storage test for Dichlorvos

Figure 4.6.2. Refrigerated storage test for Dichlorvos.




Ambient storage test for Diazinon

Figure 4.6.3. Ambient storage test for Diazinon.




Refrigerated storage test for Diazinon

Figure 4.6.4. Refrigerated storage test for Diazinon.




Ambient storage test for Chlorpyrifos

Figure 4.6.5. Ambient storage test for Chlorpyrifos.




Refrigerated storage test for Chlorpyrifos

Figure 4.6.6. Refrigerated storage test for Chlorpyrifos.




Ambient storage test for Malathion

Figure 4.6.7. Ambient storage test for Malathion.




Refrigerated storage test for Malathion

Figure 4.6.8. Refrigerated storage test for Malathion.




Ambient storage test for Parathion

Figure 4.6.9. Ambient storage test for Parathion.




Refrigerated storage test for Parathion

Figure 4.6.10. Refrigerated storage test for Parathion.




sampling tube

Figure 4.12. A drawing of an OVS-2 tube.




5. References

5.1. "Chemical Information File", U.S. Department of Labor, Occupational Safety and Health Administration, Directorate of Technical Support, June 14, 1985.

5.2. "NIOSH Manual of Analytical Methods", 2nd ed.; US Department of Health and Human Services, Centers for Disease Control, NIOSH; Cincinnati, OH, 1977; Vol. 5, Method 295, Publ. No. 77-157-C.

5.3. "NIOSH Manual of Analytical Methods", 3rd ed.; US Department of Health and Human Services, Centers for Disease Control, NIOSH; Cincinnati, OH, Feb. 1984; Vol. 1, Method 5012, Publ. No. 84-100.

5.4. "Criteria for a Recommended Standard...Occupational Exposure During the Manufacture and Formulation of Pesticides", U.S. Department of Health, Education, and Welfare, National Institute for Occupational Safety and Health; Cincinnati, OH; 1978; DHEW (NIOSH) Publ. No. 78-174.

5.5. Windholz M., Ed. "Merck Index", 10th ed.; Merck and Co.; Rahway, NJ, 1983.